Register
LOG IN
DATABASE
SEARCH
The search results
Name
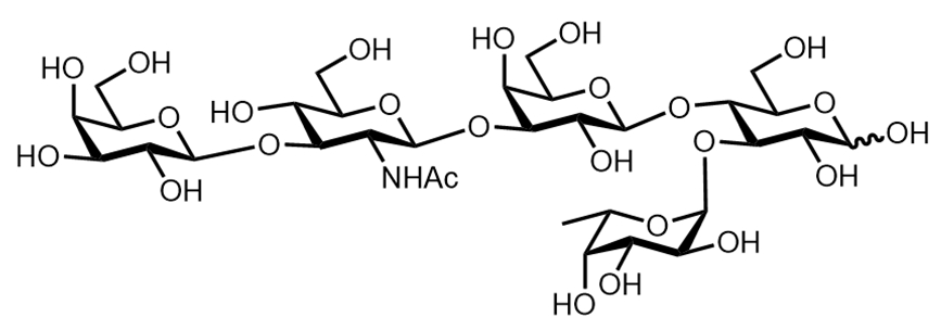
Lacto-N-fucopentaose V (LNFP V)
Accession No.
HMO.0018
Similar molecule
LNFP I, LNFP II
Other database link
GlyCosmos
Function
Prebiotic
References
Ginsburg V, Zopf DA, Yamashita K, Kobata A. Oligosaccharides of human milk - isolation of a new pentasaccharide, lacto-N-fucopentaose V. Arch. Biochem. Biophys. 1976, 175(2): 565-568.
Molecule
C32H55NO25, MW: 853.77
Structure
MS&NMR data
Enzymatic synthesis
This item downloads all data
Download
© 2022 京ICP备12011369号-7
Privacy Cookie